EBST发布的EC630房间级高性能离心风机,针对机房温控场景深度研发,以“高可靠性”与“高效节能”的双重技术突破,为国家一线数据中心及各类机房的温控体系升级提供新选择。

一、多场景验证的高可靠性
据EBST技术团队介绍,EC630离心风机在可靠性维度表现突出:
其在房顶应用场景中能够实现无故障运行达6年以上,且在全国超7个产业基地的部署中,能够持续5年以上的无故障运行。经过多区域、多工况的长期验证,EC630离心风机已经成为机房温控领域“稳定输出”的标杆产品,有效化解了机房运维中风机故障的潜在痛点。


二、三元流叶轮技术的节能革命
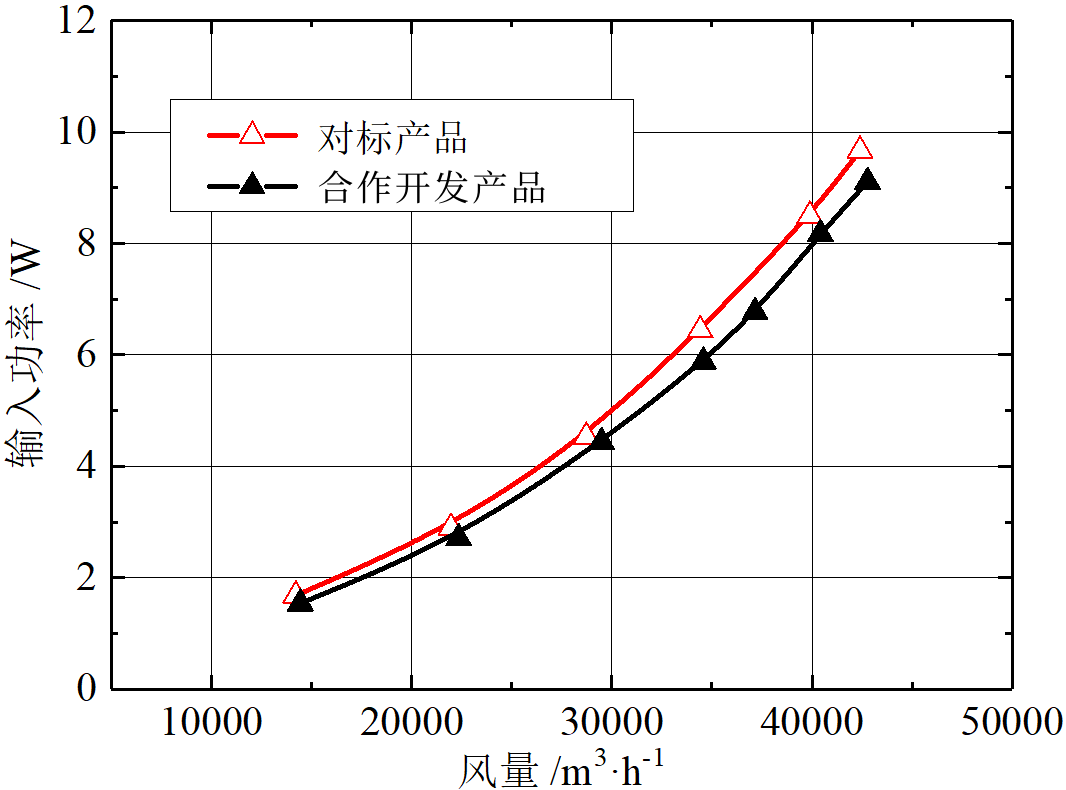
针对数据中心高散热需求与能耗管控的痛点,EBST 联合专业数据中心建设企业开展专项技术攻关,聚焦风机系统的能效升级与稳定运行。作为双方合作的标杆成果,EC630 离心风机以创新结构设计实现性能突破,其搭载高静压效率三元流叶轮,风机效率跻身国际第一梯队。整机试验数据直观显示出,在同等风量条件下,该风机与对标产品相比,功耗降低300W。通过内部流动仿真分析可知,EC630离心风机气流组织更趋优化,能量损耗大幅减少,高效节能的技术优势极具行业竞争力。



三、技术突破背后的布局实力
EBST在全国布局超7大产业基地,持续推进产品的场景化应用和技术的更新迭代。EC630离心风机的推出及应用,是EBST在机房温控领域多年技术沉淀的成果体现,也折射出企业对数据中心等场景温控需求的精准把握。

EC630离心风机为机房温控设备的“可靠性-节能性”平衡提供了创新范式,或将持续推动行业向更高效、更稳定的方向快速发展。未来,EBST将继续以技术创新为核心引擎、以创新未来为企业愿景,为各领域机房温控场景打造更具价值的解决方案及各类技术高端、制作精良的风机产品。